“Direct Measurement of the Cosmic-Ray Helium Spectrum from 40 GeV to 250 TeV with the Calorimetric Electron Telescope on the International Space Station“, O. Adriani et al., Phys. Rev. Lett. 130, 171002 (2023); https//doi.org/10.1103/PhysRevLett.130.171002.
“The Cosmic-ray Boron Flux Measured from 8.4 GeV/n to 3.8 TeV/n with the Calorimetric Electron Telescope on the International Space Station”, O. Adriani et al., Phys.Rev.Lett. 129, 251103 (2022); https://doi.org/10.1103/PhysRevLett.129.251103.
“Observation of Spectral Structures in the Flux of Cosmic-Ray Protons from 50 GeV to 60 TeV with CALET on the ISS”, O. Adriani et al., Phys. Rev. Lett. 129, 101102 (2022); https://doi.org/10.1103/PhysRevLett.129.101102.
“Direct Measurement of the Nickel Spectrum in Cosmic Rays in the Energy Range from 8.8 GeV/n to 240 GeV/n with CALET on the International Space Station”, O. Adriani et al., Phys. Lett. 128, 131103 (2022); https://doi.org/10.1103/PhysRevLett.128.131103.
“Measurement of the Iron Spectrum in Cosmic Rays from 10 GeV/n to 2.0 TeV/n with the Calorimetric Electron Telescope on the International Space Station”, O. Adriani et al., Phys. Rev. Lett. 126, 241101 (2021); https://doi.org/10.1103/PhysRevLett.126.241101.
“Direct Measurement of the Cosmic-Ray Carbon and Oxygen Spectra from 10 GeV/n to 2.2 TeV/n with the Calorimetric Electron Telescope on the International Space Station”, O. Adriani et al., Phys. Rev. Lett. 125, 251102 (2020); https://doi.org/10.1103/PhysRevLett.125.251102.
“Direct Measurement of the Cosmic-Ray Proton Spectrum from 50 GeV to 10 TeV with the Calorimetric Electron Telescope on the International Space Station”, O. Adriani et al., Phys. Rev. Lett. 122, 181102 (2019); https://doi.org/10.1103/PhysRevLett.122.181102

Figure 1. The proton and helium spectra measured by various instruments, with the expected CALET results after 5 years.
Since CALET has excellent e-p separation, measuring the proton spectrum to very high energy will be straight-forward. The nuclear components are particularly important since they are the other side of the cosmic ray puzzle. One can change the source or propagation parameters to fit e.g. the total electrons, but such changes must be consistent with the nuclear spectra if, as most believe, the same sources accelerated both hadrons and leptons. The challenge here is energy resolution. In a calorimetric instrument, the leakage of energy from the bottom is much larger for a hadronic cascade than for an electromagnetic shower, and this limits the possible energy resolution for nuclei. Clearly, the deeper the calorimeter the better.
With the charge resolution provided by the scintillating fibers in the IMC plus the charge detector at the top, CALET will achieve another major objective — measuring the spectra of the Nuclear Component to the highest possible energies, limited only by exposure. The expected results for Hydrogen and Helium after 5 years are illustrated in Figure 1. At high energy, the balloon data from JACEE, ATIC, and CREAM have verified that the spectra of H and He are different in the very high energy region and that neither are well represented by simple power laws. Rather, the spectra seem to be evolving, becoming harder with increasing energy. Whether this is a source/acceleration effect or is connected to particle transport in the galaxy remains an open question. CALET will have both the statistical precision and the energy reach to trace out any changes and/or major structures in these spectra.

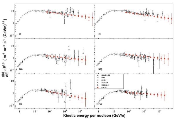
Figure 2. Expected CALET measurements of the primary heavy nuclei superimposed
on existing data. The flux values are multiplied by E2.5.
With the charge resolution anticipated for CALET, the instrument will also be able to measure the spectra of the major primary elements to the iron peak. In this area there is some disagreement among the balloon experiments with some showing a trend to harder spectra with increasing energy while other experiments find a pure power law over the entire energy range. As illustrated in Figure 2, CALET data will be able to resolve such effects and extend the available results to considerably higher energies.